Link to home

Case Study #3: Role of Droplet Number and the Dispersal of Rust Pathogens

Geagea, L., Huber, L., and Sache, I. 1999. Dry-dispersal and rain-splash of brown (Puccinia recondita f. sp. tritici) and yellow (P. striiformis) rust spores from infected wheat leaves exposed to simulated raindrops. Plant Pathology 48: 472-482.

Micrograph of Puccinia triticina urediniospores. Photo courtesy V. Segovia, Kansas State University, Manhattan, Kansas.

Rusts are among the most destructive plant diseases in the world and are widely known for their damage to cereal crops such as wheat, barley, and oats (Agrios 2004). Two common rusts found on wheat are leaf rust (caused by Puccinia triticina), also referred to as brown rust, and stripe rust (caused by Puccinia striiformis) also referred to as yellow rust. Leaf rust may be the most widely distributed wheat disease and is most common in areas where wheat matures late in the wheat growing season (Wiese 1998). Stripe rust, however, is more confined to areas of higher elevation and cooler climates (Wiese 1998). In the US, stripe rust is more common in the western states, but is becoming more important in the south-central states and the Great Plains (Chen et al. 2002).

Rusts are named because of the dry, dusty spots or stripes (called pustules) that erupt from the epidermis of the plant. A plant infected with leaf rust will have pustules scattered or in clusters on the leaf blades. In contrast, plants infected with stripe rust have pustules arranged in a linear pattern which can result in stripes throughout the length of the leaf blade (Wiese 1998).

Rust spores were once thought to be dispersed only by wind, however, rain is also important for spore dispersal (Geagea et al. 1999). Less attention has been focused on a rain dispersal mechanism because the hydrophobic spores were assumed not to be carried away by the rain (Sache 2000). Dispersal by rain is usually on a smaller scale than wind dispersal. Spores may be removed via rain in two ways. The first is due to rain-splash, where a drop breaks into smaller droplets when it hits a sporulating lesion and each of the smaller droplets will take up several spores and carry them away. The second removal mechanism is dry-dispersal, which occurs when a raindrop hits a part of the leaf with no sporulating lesions, and the energy transfer to the leaf results in detached spores being liberated while staying dry.

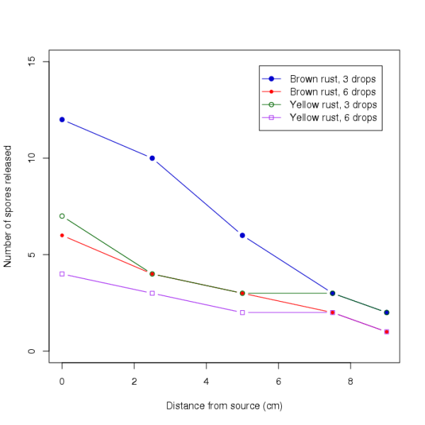
Geagea et al. (1999) examined short distance dispersal of spores from leaf rust and stripe rust when dry-dispersal and rain-splash occur simultaneously. Using susceptible wheat plants, droplets of different sizes (i.e., number of drops) were released onto a target spore-bearing (pustules) leaf using a drop generator. This approach allowed for control of the drop size and number. Spores were collected on a slide that had a thin coating of a green dye to differentiate wet and dry spores. Water drops created a clear circle with a dark green margin indicating that spores present in those discolored areas were rain-splashed. Spores that were dry dispersed did not cause any discoloration on the slide. One slide was placed under the expected impact point, the center slide, and other slides covered the rest of the surface within 12 cm from the center slide to catch all the spores.

Geagea et al. (1999) modeled the effects of spore drop size and the number of drops previously hitting the leaf using a linearized form of the exponential model. To illustrate how this analysis can be performed in R, we will use data based on Figure 4 (and summarized in Tables 1 and 2) of Geagea et al. (1999).

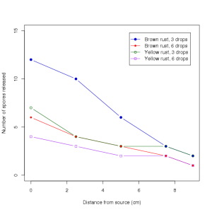
#Input raw data for brown rust and yellow rust
# and number of released spores
spores3.brown=c(12,10,6,3,2) spores6.brown=c(6,4,3,2,1) spores3.yellow=c(7,4,3,3,2) spores6.yellow=c(4,3,2,2,1) distance=c(0,2.5,5,7.5,9) #First, let's examine the raw data plots plot( distance, spores3.brown, col='medium blue', type='b', lty=1, pch=19, xlab='Distance from source (cm)', ylab='Number of spores released', ylim=c(0,15) ) lines( distance, spores6.brown, type='b', lty=1, pch=20, col='red' ) lines( distance, spores3.yellow, type='b', lty=1, pch=21, col='dark green' ) lines( distance, spores6.yellow, type='b', lty=1, pch=22, col='purple' ) legend( 'topright', c("Brown rust, 3 drops",
"Brown rust, 6 drops",
"Yellow rust, 3 drops",
"Yellow rust, 6 drops"), lty=c(1,1,1,1), pch=c(19,20,21,22), col=c("medium blue","red","dark green","purple"), inset=0.05 )

This leads to the following graph:

Output

Click on the image for larger version.

At greater distances from the target leaf, the number of spores released after drop impact decreased. The number of spores collected per three drops decreased as the number of previous impacting drops increased. For example, spores collected from brown rust after six drops impacted a diseased leaf were fewer than spores collected after the initial three drops impacted the leaf.

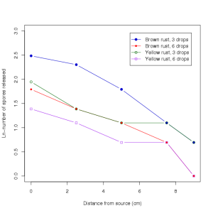
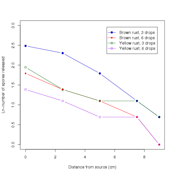
The authors' analysis dealt with the natural log (ln) of the number of spores and this can also be examined in R.

Examine the plot for the ln(spores) and discuss the differences compared to the original data plot.

#To perform the analysis presented in the paper,
# determine the ln spore number
ln.spores3.brown=log(spores3.brown) ln.spores6.brown=log(spores6.brown) ln.spores3.yellow=log(spores3.yellow) ln.spores6.yellow=log(spores6.yellow) #Corresponding plots plot( distance, ln.spores3.brown, col='medium blue', type='b', lty=1, pch=19, xlab='Distance from source (cm)', ylab='Ln-number of spores released', ylim=c(0,3) ) lines( distance, ln.spores6.brown, type='b', lty=1, pch=20, col='red' ) lines( distance, ln.spores3.yellow, type='b', lty=1, pch=21, col='dark green' ) lines( distance, ln.spores6.yellow, type='b', lty=1, pch=22, col='purple' ) legend( 'topright', c("Brown rust, 3 drops",
"Brown rust, 6 drops",
"Yellow rust, 3 drops",
"Yellow rust, 6 drops"), lty=c(1,1,1,1), pch=c(19,20,21,22), col=c("medium blue", "red","dark green","purple"), inset=0.05 )

Which leads to the following:

Output

Click on the image for larger version.

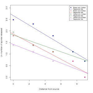
Subsequently, a linear regression analysis was performed and this can be examined based on the following code. Please note that the use of the summary function was for one regression. A comparison of the different regression analyses may be made by examining the summary for all the regression analyses. How well do the models fit the dispersal data?

#Now, we will run the corresponding regressions for
# the dispersal gradients
#First, we can organize our data frames, and then we will run
# each respective regression
spores.3.brown=as.data.frame(cbind(distance,ln.spores3.brown)) spores.6.brown=as.data.frame(cbind(distance,ln.spores6.brown)) spores.3.yellow=as.data.frame(cbind(distance,ln.spores3.yellow)) spores.6.yellow=as.data.frame(cbind(distance,ln.spores6.yellow)) brown3.lm=lm(ln.spores3.brown~distance, data=spores.3.brown) brown6.lm=lm(ln.spores6.brown~distance,data=spores.6.brown) yellow3.lm=lm(ln.spores3.yellow~distance,data=spores.3.yellow) yellow6.lm=lm(ln.spores6.yellow~distance,data=spores.6.yellow)
 
#To obtain regression summaries for each model, we can call
#
summary(linear_model) #For example, this 'summary(...)' command produces the output
# that follows, 'Call:...'
summary(brown3.lm) Call: lm(formula = ln.spores3.brown ~ distance, data = spores.3.brown) Residuals: 1 2 3 4 5 -0.17880 0.15424 0.15879 -0.01899 -0.11523 Coefficients: Estimate Std. Error t value Pr(>|t|) (Intercept) 2.66371 0.14121 18.863 0.000325 *** distance -0.20615 0.02433 -8.475 0.003449 ** --- Signif. codes: 0 '***' 0.001 '**' 0.01 '*' 0.05 '.' 0.1 ' ' 1 Residual standard error: 0.1776 on 3 degrees of freedom Multiple R-Squared: 0.9599, Adjusted R-squared: 0.9465 F-statistic: 71.82 on 1 and 3 DF, p-value: 0.003449

Finally, visual inspections of the corresponding regressions may be made using the following:

#If we want to visually compare the dispersal gradients (and
# their fitted regression lines), we can do the following: plot( distance, ln.spores3.brown, col='medium blue', type='p', pch=19, xlab='Distance from source', ylab='Ln-number of spores released', ylim=c(0,3) ) abline( brown3.lm, lty=1, col='medium blue' ) points( distance, ln.spores6.brown, col='red', pch=20 ) abline( brown6.lm, lty=1, col='red' ) points( distance, ln.spores3.yellow, col='dark green', pch=21 ) abline( yellow3.lm, lty=1, col='dark green' ) points( distance, ln.spores6.yellow, col='purple', pch=22 ) abline( yellow6.lm, lty=1, col='purple' ) legend( 'topright', c("Brown rust, 3 drops",
"Regression line",
"Brown rust, 6 drops",
"Regression line",
"Yellow rust, 3 drops",
"Regression line",
"Yellow rust, 6 drops"
,
"Regression line"), lty=c(NA,1,NA,1,NA,1,NA,1), pch=c(19,NA,20,NA,21,NA,22,NA), col=c("medium blue",
"medium blue",
"red",
"red",
"dark green",
"dark green",
"purple",
"purple"), cex=0.7, inset=0.01 )

Which leads to the following:

Output

Click on the image for larger version.

Fitting a linear regression to the data illustrates that the dispersal gradients from the infected plants were very similar for both brown rust and yellow rust. The slopes of the regression lines did not differ significantly.

Geagea et al. (1999) concluded that spores from both rusts were removed by water drops and that spore removal was strongly affected by drop diameter and fall height. The number of spores collected decreased with an increasing number of impacting drops. For a given fall height above the plant, the total number of both dry-dispersed spores and rain-splashed spores increased as the diameter of the drops increased. Similarly, for a given drop diameter the number of dispersed spores increased with increasing fall height. The dispersal distance of the spores increased as the drop diameter and fall height increased.

 

Next, primary disease gradients of wheat stripe rust in large field plots