Link to home

Calculating the area under the disease progress curve to quantify disease progress

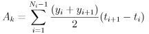
The area under the disease progress curve (AUDPC) is a useful quantitative summary of disease intensity over time, for comparison across years, locations, or management tactics. The most commonly used method for estimating the AUDPC, the trapezoidal method, is to discretize the time variable (hours, days, weeks, months, or years) and calculate the average disease intensity between each pair of adjacent time points (Madden et al. 2007). We can consider the sample time points in a sequence {ti}, where the time interval between two time points may be consistent or may vary, and we also have associated measures of the disease level {yi}. We define y(0) = y0 as the initial infection or the disease level at t = 0 (i.e., the first disease severity observation in our study). A(tk), the AUDPC at t = tk, is the total accumulated disease until t = tk, given by . To illustrate this concept, the exercise below shows the rectangular area Si as the increase in accumulated disease during the time interval from ti-1 to ti, S1 = A1 and Ai = Ai-1 + Si, i ≥ 2.

For the purposes of this exercise we will write our own AUDPC function. The Agricolae package for R also includes an AUDPC function. Below is an illustration of the function to calculate the AUDPC and graph the output.

#Set up disease severity percent measurements; 
#change these in subsequent analyses to see how it affects
#the AUDPC
ds0<-1
ds1<-2
ds2<-7
ds3<-7.5

#Put these values into a vector without making any changes
disease.severity<-c(ds0,ds1,ds2,ds3)

#Time points at which disease severity
# measurements are made, #change these in subsequent analyses to #see how it affects the AUDPC Value
t0<-0 t1<-2 t2<-5 t3<-6 #Put time period into a vector ## Do not change these values time.period<-c(t0,t1,t2,t3) #Refresh your memory about how the plot function works help(plot) #Create the plot of disease severity over time plot(time.period, disease.severity, ylim=c(0,(ds3+1)), xlim=c(0,(t3+0.5)), xlab="Time", ylab="Disease Severity (%)", type="o", pch=19, col="mediumblue") #Add a title and subtitle to our plot title(main="Illustration of AUDPC Calculation",
sub="Figure 1") #Add text to x labels defining time periods
# defined in text
mtext("=t0",1,at=0.3,1) mtext("=t1",1,at=2.3,1) mtext("=t2",1,at=5.3,1) mtext("=t3",1,at=6.3,1) #Illustrate the area under disease progress
# curve with rectangles.
## Do not change these values rect(t0,0,t1,((ds0+ds1)/2),border="orange") # Add text to rectangle to describe rectangle text(1,1,"A1") #Add segment to Y axis #And so-on rect(t1,0,t2,((ds1+ds2)/2),border="orange") text(((t1+t2)/2),(((ds1+ds2)/2)/2),"S2") #Draw line to axis and label with value segments(.4,((ds1+ds2)/2),t2,((ds1+ds2)/2),
col="black",lty="18") text(0,((ds1+ds2)/2),((ds1+ds2)/2)) rect(t2,0,t3,((ds2+ds3)/2),border="orange") text(((t2+t3)/2),(((ds2+ds3)/2)/2),"S3") segments(0.4,((ds2+ds3)/2),t2,((ds2+ds3)/2),
col="black",lty="18") text(0,((ds2+ds3)/2),((ds2+ds3)/2)) #Build a function for AUDPC calculation #the left curly bracket indicates the beginning
# of the function
audpc <- function(disease.severity,time.period){ #n is the length of time.period, or
#
the total number of sample dates n <- length(time.period) #meanvec is the vector (matrix with one dimension) #that will contain the mean percent infection #it is initialized containing -1 for all entries #this sort of initialization is sometimes useful
#
for debugging meanvec <- matrix(-1,(n-1)) #intvec is the vector that will contain the length of # time between sampling dates intvec <- matrix(-1,(n-1)) #the loop goes from the first to the penultimate entry #the left curly bracket indicates the beginning of
#
commands in the loop for(i in 1:(n-1)){ #the ith entry in meanvec is replaced with the
# mean percent infection
#between sample time i and sample time i+1 meanvec[i] <- mean(c(disease.severity[i],
disease.severity[i
+1])) #the ith entry in intvec is replaced with the length # of the time interval between time i and time i+1 intvec[i] <- time.period[i+1] - time.period[i] #the right curly bracket ends the loop } #the two vectors are multiplied together
# one entry at a time
infprod <- meanvec * intvec #the sum of the entries in the resulting vector
# gives the AUDPC
sum(infprod) #the right curly bracket ends the function } #Now apply the function to the example data and put # the result in a new object called 'AUDPCexample' audpc(disease.severity,time.period) -> AUDPCexample #Display AUDPC Value #Draw rectangle around value rect(0.1,(ds3+.3),2,(ds3+1),border="black") #AUDPC Text text(1.05,(ds3+0.8),"AUDPC") text(1.05,(ds3+0.5),AUDPCexample)

 

Output

AUDPC Illustration

Click on the image for larger version.

You can use the R code above to illustrate other examples by replacing the values of ds0 through ds4 and t0 through t4, as commented in the R script above. The function for calculating the AUDPC, audpc, can be used with other data sets for which the number of disease observations is equal to the number of time points and for which the time points appear in order.

Since you might have your own disease progress data, this would be a good time to revisit how to use the read.csv function. Refer to An Introduction to the R Programming Environment for a brief tutorial on how to import data from spreadsheets and other sources (Garrett et al. 2007).

 

Next, using the AUDPC to compare epidemics in different years